周口日报·周道客户端记者 张猛 张志新 通讯员 苏韵棠
你可能从来都没有见过、听说过,在西华艾岗乡有这样一个“活化石”级的姓氏,全国仅有200余人,而且新字典和百度搜索不出,电脑打不出来,实属全国罕见。然而,在西华县艾岗乡境内,这个姓氏已经生活了600多年。
这个罕见的姓氏总人口仅有236人,比百度搜索中全国人口最少的“贶”姓姓氏多了100多人,属于全国第二个人口最少的姓氏,这个姓氏就是古老的(图一、图二)(an)姓。

(图一:为清《康熙字典》、《中华大字典》中记载的(an)姓)

(图二:为清《康熙字典》、《中华大字典》中记载的(an)姓另一种写法)
(图一:an)姓主要分布在河南省西华县艾岗乡的10个行政村,共160人,其他70多人分布在西华县西夏镇、逍遥镇、红花镇、黄桥乡以及北京、宁夏等地。居住在西华县内的(图一:an)姓人,以艾岗乡新白庙村和白庙村居多。 (图一:an)的正规写法是(图二:an),图书写方便,就写成了上面第一个(图一:an)字。在艾岗乡,(图一:an)和(图二:an)字表达的意思一致,都是(图一:an)姓的姓氏。
在下文表述中,为表达方便,(图一:an)和(图二:an)字在使用时, 一律用(图一:an)代表。
西华县内的 (图一:an)姓人,一直保持着亲属往来,和睦相处。每逢族人红白喜事,(图一:an)姓族人奔走相告,议说家事,也其乐融融。

(上图为艾岗乡新白庙村(图一:an)姓村民办理的第一代身份证)
但是近几十年来, (图一:an)姓人却遇到了一件最烦心的事。用了一千多年的 (图一:an)姓姓氏无法继续使用了。因为电脑打不出原来的姓氏, 办理二代身份证时,只能打成“安”或者其他的姓,这就意味着 (图一:an)姓要改为安姓,这也给了(图一:an)姓人当头一击。
(图一:an)姓人的上学、入伍、入党、提干,甚至外出都少不了打印自己的姓名,如今 (图一:an)字打不出来,只好忍痛将自己的 (图一:an)姓打成了“安”姓。
(图一:an)姓姓氏起源
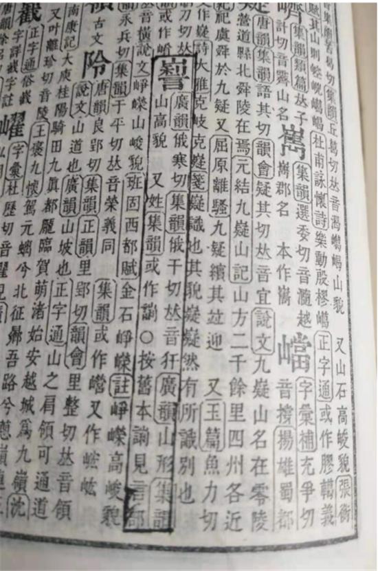
追根溯源, (图一:an)姓这个姓氏还真有历史依据。在清《康熙字典》寅集中记载有 (图一:an)姓,《中华大字典》390页中记载有 (图一:an)姓。而在本村出土的清光绪二十七年刻制的捐款修桥的功德碑上,也有 (图一:an)湾村和 (图一:an)姓族人为修桥捐款的记录。

(上图为《康熙字典》有关(图一:an)、(图二:an)姓的文字记载)
(图一:an)姓起源已久。清《康熙字典》寅集中---山部---十三画至十五画---一五页载, (图一:an)(廣韻),俄寒切(集韻),俄千切丛音犴(廣韻),山形(集韻),山高貌,又姓(集韻)或作(图一:an)......中华书局《中华大字典》390页记载: (图一:an),俄千切音犴寒韻。山高皃。见(集韻)。姓也。(集韻)......

(上图为《中华大字典》有关(图一:an)、(图二:an)姓的文字记载)
(图一:an)姓族人相传:因山势高峻。就 (图一:an)字而言,氏人如山高大,多有利,又有发言之权,这才是 (图一:an)姓人姓氏的注解之所在。南北朝时,一名(图一:an)姓人入朝为官,善待黎民,为世人所称颂。清代,在白庙村居住的 (图一:an)姓人人丁兴旺,家家儿孙满堂,户户盈丰有余,在当时有“(图一:an)家街”之称。
(图一:an)姓人的迁居和繁衍
据《河南乡土史料》记载:1397年8月,元朝灭亡,明朝立建。河南元末的长期战乱,田园荒芜,人口锐减。为恢复中原,明太祖采纳郑州知州苏琦之见,于河南立司农司,组织山西百姓大量迁居河南。
(图一:an)姓先祖在明代永乐年间,迁居清水县东北隅15里处的颖河北岸(清水县即今西华县逍遥镇,15里处即今艾岗乡),附近有个村落,住着武、王两姓的老户。(图一:an)姓人在此落脚后,为生计造船以摆渡为生。年长日久,人丁渐旺,这个有渡口的村子被称为 (图一:an)湾村,村名也因此名扬远播。直至1953年, (图一:an)湾村村前颖河上修了一座桥后,该村才改村名为新桥村。

(上图为清光绪27年所立功德碑显示(图一:an)湾村的局部)
(图一:an)姓人迁居到此地后,一靠摆渡,二靠编织柳货。家境俱日盈余,人口俱增。为使族人赓续繁衍,(图一:an)姓人再向附近村庄迁居。据族人相传:(图一:an)姓人当时迁往白庙村东北处一空墟地定居,时人称之为“小庄”。 (图一:an)姓人靠给白庙村地主当佃户,农闲时编织柳货为生。
(图一:an)姓人心灵手巧,而且勤劳诚实,当时的柳编工艺可有名气。柳货远销大江南北,成为远近闻名的手工工艺品。当地流传顺口溜:“白庙的笸箩,半截河的斗,小庄的闺女不外走”。“小庄”就是(图一:an)姓人居住的村落,“小庄”早已合并到白庙村。而且白庙村经过拆分出新白庙村、三白庙村,(图一:an)姓人因此也有一部分定居到新白庙村、三白庙村。
(图一:an)姓人的烦恼和无助
伴随社会的进步与经济的发展,各种社会活动的需要,办户口本、身份证、学籍卡、青年应征入伍等诸多社会活动,均需建立档案或输入网络,因电脑中打不出姓氏中的 (图一:an)姓,只能改为“安”姓或其他姓氏。一字之差,意义迥然,给 (图一:an)姓人带来数不尽的烦恼与困惑。
本村 (图一:an)某宾入学、入伍、提干建立档案时,因电脑上打不出“ (图一:an)”姓原来的姓,只有打成了“安”姓。
西夏亭镇后仓村的(图一:an)某金,在这次姓氏人口普查中,因打不出“ (图一:an)”姓原来的字,只有改随其姑奶家的“李”姓。
烈士 (图一:an)本善,本是新四军四师二总队一名排长,在抗日战场壮烈牺牲。在《西华县志》收录的烈士名单中,其姓氏仅是一个拼接的组合字,(图一:an)姓人每次提起此事,都是唏嘘、痛心不已。

(上图为《西华县志》中新白庙村烈士 (图一:an)本善的记录)
为恢复自己的姓氏,(图一:an)姓人也多次向上级相关部门反映,至今仍没有解决。因为姓氏一事,也给 (图一:an)姓人带来了诸多困扰与束缚。姓氏不改办理不了身份证,而改了姓氏等于丢弃了祖宗留下的最珍贵的遗产,因此心有不甘。
(图一:an)姓族人中年龄在50以上的,因为不经常出门,他们更不愿意办理二代身份证,至今都珍藏着一张手写有(图一:an)姓的第一代身份证。

(上图为(图一:an)姓人办理的第二代身份证)
今年近70岁的(图一:an)云德是新白庙村的退休党支部书记,也是(图一:an)姓一族的代表。提起自家姓氏找不到的事也是一筹莫展:“俺这姓氏要是入不了国家的大谱大系,百年以后咋对列祖列宗交待,咋向后世子孙陈述……”
(图一:an)姓人的期盼与希望
针对该姓氏遇到的麻烦,他们一是希望将(图一:an)字输入电脑字库和有关程序中,圆了(图一:an)姓人几十年的期盼梦想;二是通过网络平台的宣传,希望联系到海内外的 (图一:an)姓人,建立(图一:an)姓族人联谊会,增进沟通了解,重续 (图一:an)氏家谱;三是希望有关姓氏研究会、资深专家,对 (图一:an)姓的恢复和赓续提出建设性意见;四是希望政府相关部门应将稀有姓氏纳入非物质文化遗产保护范畴。开展对稀有姓氏的普查工作,全面了解、掌握和记述稀有姓氏源流、种类、数量、分布状况、生存环境及存在的问题。
记者通过对《中华姓氏大辞典》的查证得知:中国人最常用的还是李、王、张、刘、陈、杨等常见姓氏。据专家研究,中国100 个常见大姓约占中国总人口的85%。《中国姓氏大辞典》介绍: 中国姓氏具有3个明显特徵;第一个特徵是以父系方式遗传,类似于人类染色体的遗传;第二个特徵是包含环境、气候、疾病等一系列因素;第三个特徵是,姓氏作为人类社会进化中的文化产物,是社会结构中一种血缘关系的符号,可以从文字史书中追溯其传递的痕迹。鉴于中国姓氏多由父系世代传递,类似于人类Y染色体的遗传,在中华民族漫长的历史过程中,众多的小姓、奇姓、罕见姓,不仅是一笔珍贵的文化遗传,有的还保存了一份独一无二的 染色体遗产。在中华民族大家庭中,多一个姓,不仅是多了一份家族史、文化史,而是增添了一部基因史。
记者通过对艾岗乡古老(图一:an)姓的调查和走访,深刻了解到稀有姓氏(图一:an)姓族人的所难、所想、所盼,深切感受到他们对祖宗留传姓氏的珍贵,对办理二代身份证等各种证明的烦恼和思想矛盾,对恢复原来(图一:an)姓姓氏的期盼,对尽快融入中华姓氏大家庭的渴望,对新时代美好生活的憧憬 。
记者还从西华县非物质文化遗产中心了解到,稀有姓氏(图一:an)姓已被西华县政府批准为非物质文化遗产名录,同时正在积极申报市级非物质文化遗产。目前有一个好的消息是,有关部门已计划将稀有姓氏(图一:an)姓列入“黄河流域非遗代表性项目”。相信不远的将来,丢失的稀有姓氏会找到回家的路。
